2020 DSE Math Paper 2 Mock exam and answers (Q24-45)(有題解) 2020 DSE數學卷二模擬考試答案及題解
2020 DSE數學考試臨近,我根據hkdse math paper 2 考試新趨勢,為考生提供了免費的2020 DSE Math Paper 2 Mock Exam。剛附上Q24-45的詳細題解 (在網頁底部),希望對考生有幫助!
大多數考生認為 Q18, Q31, Q32, Q33, Q34, Q41 是非常困難的。一些考生認為 Q14, Q21, Q30, Q38, Q40 也困難。
如果您未完成Q.1-23,請先完成Q.1-23 (請點擊下面鏈接)。
以下是 : 2020 DSE Math Mock Paper 2: Q.24-45
(如果您看不清圖片,請點擊它,您會看得清楚。而且用桌面電腦看圖片 效果會更好)
Section A
2020 DSE Math Mock Paper 2: Q.24-27
2020 DSE Math Mock Paper 2: Q.28-30
Section B
2020 DSE Math Mock Paper 2: Q.31-34
2020 DSE Math Mock Paper 2: Q.35-38
2020 DSE Math Mock Paper 2: Q.39-41
2020 DSE Math Mock Paper 2: Q.42-45
= = End of Paper 試卷完 = =
Answers (Q.24-45) :
24.D 25.D 26.A 27.C 28.B 29.A 30.B
31.C 32.D 33.D 34.C 35.C
36.B 37.A 38.B 39.A 40.D
41.C 42.B 43.D 44.A 45.B
24.D 25.D 26.A 27.C 28.B 29.A 30.B
31.C 32.D 33.D 34.C 35.C
36.B 37.A 38.B 39.A 40.D
41.C 42.B 43.D 44.A 45.B
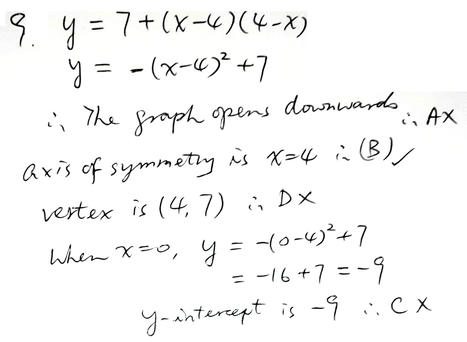
Q24-36的詳細題解 Solutions
Q24-30 :
Q31-36 :
Q37-45 :
要進入"DSE數學卷二 Mock答案及題解 Q.1-23" 頁面 ,請點擊下面的圖片:
更多閱讀 :
要進入 "2017 DSE數學卷二答案題解" 頁面,請點擊下面的圖片:
要進入 "2016 DSE數學卷二答案題解" 頁面,請點擊下面的圖片:










































































